투명교정 치료 시 교합 접촉의 변화: 케이스 복잡도가 미치는 영향
투명교정(Clear Aligner) 치료가 점점 보편화되면서, 치료 후 교합의 질에 대한 관심도 높아지고 있습니다. 투명교정 장치는 하루 22시간 착용하면서 상하악 치아 사이에 물리적 장벽을 만들어 이른바 “bite-block effect”를 일으킵니다. 이것이 치료 결과에 어떤 영향을 미칠까요?
오늘 소개할 연구는 82명의 환자를 대상으로 투명교정 치료 전, 치료 완료 후, 그리고 야간 유지 3개월 후까지 교합 접촉과 교합 면적의 변화를 추적 관찰한 종단 코호트 연구입니다.
원논문 소개

Marcelino V, et al. Occlusal Changes with Clear Aligners and the Case Complexity Influence. J Clin Med. 2023;12(10):3435.
연구팀: Vanessa Marcelino, Teresa Pinho 등 (포르투갈 CESPU 대학)
저널: Journal of Clinical Medicine (2023)
DOI: 10.3390/jcm12103435
연구 배경: 왜 투명교정의 교합이 문제인가?
투명교정 장치는 치아 사이에 약 0.75-1mm 두께의 열가소성 플라스틱이 위치하게 됩니다. 이로 인해 치료 중 자연스러운 교합 접촉이 차단되고, 특히 구치부(어금니)에서 “bite-block effect”가 발생합니다.
기존 문헌에서 지적된 투명교정의 한계:
– 고정식 교정장치에 비해 교합 접촉 달성이 어려움
– 구치부의 협설 경사 조절 어려움
– 안정적인 교합 접촉 실패 → 재발률 증가 가능성
연구 방법
연구 설계
- 유형: 정량적, 비교, 관찰적 종단 코호트 연구
- 대상: 82명 (평균 연령 23.67세, 여성 65.9%)
- 시스템: Invisalign (Diamond Provider 감독 하)
- iTero 구강 스캐너: 디지털 교합 분석
- MeshLab 소프트웨어: 교합 면적 계산 (상하악 접촉 거리 ≤0.2mm)
- 교합지(Articulating paper): 디지털 모델 검증용
- ClinCheck: 계획된 교합 접촉 분석
- Simple (단순): 28%
- Moderate (중등도): 56.1%
- Complex (복잡): 15.9%
- 후방 접촉: 계획보다 유의하게 적게 달성
- 전방 접촉: 계획보다 유의하게 많이 달성
- Hyperdivergent와 Hypodivergent 간 유의한 차이 (p = 0.031)
- 안면 유형과 치료 완료 여부 간에는 통계적 연관성 없음
- 원심이동(Distalization): 보조 장치(TAD 등) 고려
- 회전 이동: 추가 얼라이너 필요 가능성 높음
- 복잡한 케이스: 평균 3세트의 추가 얼라이너 필요
- Hyperdivergent: 후방 압하 경향 주의, 수직 조절 강화
- Hypodivergent: 교합력이 강해 더 많은 접촉 유지 가능
- 물리적 장벽 효과: 0.75-1mm 두께의 플라스틱이 자연 교합 방해
- 구치부 압하력: 지속적인 교합력이 구치를 압하시키는 경향
- 전치부 상대적 정출: 구치 압하로 인한 상대적 현상
- 교합평면 변화: 전방 교합 증가, 후방 교합 감소
- 새로운 재료 개발: 더 얇고 강한 열가소성 소재로 bite-block effect 최소화
- AI 기반 치료 계획: 개인별 생역학적 반응 예측
- 하이브리드 접근: 투명교정 + 부분 고정식의 조합
- 실시간 모니터링: 센서 내장 얼라이너로 착용 시간 및 교합력 추적
-
Marcelino V, Baptista S, Marcelino S, et al. Occlusal Changes with Clear Aligners and the Case Complexity Influence: A Longitudinal Cohort Clinical Study. J Clin Med. 2023;12(10):3435.
-
Bowman E, Bowman P, Weir T, et al. Occlusal Contacts and Treatment with the Invisalign Appliance: A Retrospective Analysis of Predicted vs Achieved Outcomes. Angle Orthod. 2023;93:275-281.
-
Riede U, Wai S, Neururer S, et al. Maxillary Expansion or Contraction and Occlusal Contact Adjustment: Effectiveness of Current Aligner Treatment. Clin Oral Investig. 2021;25:4671-4679.
-
Ke Y, Zhu Y, Zhu M. A Comparison of Treatment Effectiveness between Clear Aligner and Fixed Appliance Therapies. BMC Oral Health. 2019;19:24.
-
Kravitz ND, Kusnoto B, Agran B, et al. Influence of Attachments and Interproximal Reduction on the Accuracy of Canine Rotation with Invisalign. Angle Orthod. 2008;78:682-687.
-
Simon M, Keilig L, Schwarze J, et al. Treatment Outcome and Efficacy of an Aligner Technique-Regarding Incisor Torque, Premolar Derotation and Molar Distalization. BMC Oral Health. 2014;14:68.
-
Horton JK, Buschang PH, Oliver DR, et al. Comparison of the Effects of Hawley and Perfector/Spring Aligner Retainers on Postorthodontic Occlusion. Am J Orthod Dentofacial Orthop. 2009;135:729-736.
-
Littlewood SJ, Millett DT, Doubleday B, et al. Retention procedures for stabilising tooth position after treatment with orthodontic braces. Cochrane Database Syst Rev. 2016;1:CD002283.
-
Djeu G, Shelton C, Maganzini A. Outcome Assessment of Invisalign and Traditional Orthodontic Treatment Compared with the American Board of Orthodontics Objective Grading System. Am J Orthod Dentofacial Orthop. 2005;128:292-298.
-
Papadimitriou A, Mousoulea S, Gkantidis N, et al. Clinical Effectiveness of Invisalign Orthodontic Treatment: A Systematic Review. Prog Orthod. 2018;19:37.
평가 시점
| 시점 | 설명 |
|---|---|
| T0 | 치료 시작 전 |
| T1 | 교정 목표 달성 후 (첫 번째 세트 또는 추가 얼라이너 사용 후) |
| T2 | 치료 완료 후 3개월 (야간만 착용) |
측정 방법
케이스 복잡도 분류 (Invisalign 평가 도구 기준)
핵심 연구 결과
1. 교합 접촉과 면적의 변화 (T0 → T1)

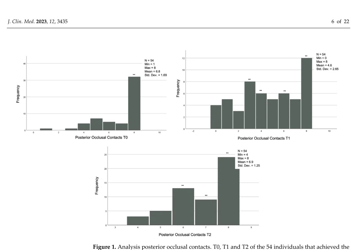
Figure 1. T0, T1, T2 시점의 후방 교합 접촉 분석. 치료 완료 시(T1) 후방 접촉이 유의하게 감소했다가 야간 착용 3개월 후(T2) 회복됨.
통계적으로 유의한 변화 (p < 0.001):
| 항목 | T0 (치료 전) | T1 (치료 후) | 변화 |
|---|---|---|---|
| 교합 면적 | 54.13 mm² | 25.25 mm² | 53% 감소 |
| 후방 접촉 수 | 7.0개 | 3.5개 | 50% 감소 |
| 전방 접촉 수 | 3.6개 | 5.0개 | 41% 증가 |
핵심 발견: 투명교정 치료 후 후방 교합 접촉은 감소하고, 전방 교합 접촉은 증가하는 경향을 보였습니다.
2. 계획된 교합 vs 실제 획득된 교합
| 구분 | 계획 | 실제 | p값 |
|---|---|---|---|
| 후방 접촉 | 7.6개 | 3.5개 | < 0.001 |
| 전방 접촉 | 0.8개 | 5.0개 | < 0.001 |
3. 야간 착용 3개월 후 교합 회복 (T1 → T2)

Figures 5-7. 임상 케이스 구내 사진. T0(치료 전), T1(치료 완료), T2(야간 착용 3개월 후).
54명 중 첫 번째 세트로 목표 달성한 그룹:
| 항목 | T1 | T2 | 변화 |
|---|---|---|---|
| 후방 접촉 | 5.0개 | 7.0개 | 유의한 증가 (p < 0.001) |
| 교합 면적 | 21.8 mm² | 34.9 mm² | 유의한 증가 (p < 0.001) |
Settling 효과: 치료 완료 후 야간만 얼라이너를 착용하면서 3개월 간 자연스러운 교합 안정화(settling)가 일어났습니다.
4. 치료 완료를 방해한 어려운 치아 이동
82명 중 28명(34.1%)이 첫 번째 얼라이너 세트만으로 치료 목표를 달성하지 못했습니다.
치료 완료를 방해한 주요 이동:
| 이동 유형 | 비율 |
|---|---|
| 원심이동(Distalization) | 25.0% |
| 상악 중절치 회전 | 14.3% |
| 후방 정출 | 10.7% |
| 후방 함입 | 10.7% |
| 악궁 확장 | 10.7% |
5. 안면 유형(Facial Biotype)의 영향

Figure 4. 교합지와 디지털 스캔을 통한 교합 접촉 비교. T0, T1, T2 시점.
| 안면 유형 | T1 교합 면적 | 특징 |
|---|---|---|
| Hyperdivergent (긴 얼굴) | 16.23 mm² | 가장 작음 |
| Hypodivergent (짧은 얼굴) | 28.24 mm² | 가장 큼 |
| Normodivergent (정상) | 21.82 mm² | 중간 |
임상적 의의
1. Bite-block Effect 인지하기
투명교정 치료 중 후방 교합 접촉 감소는 불가피한 현상입니다. 이를 미리 인지하고 환자에게 설명하는 것이 중요합니다.
2. 과교정(Overcorrection) 계획
ClinCheck 계획 시 후방 교합 접촉을 과교정으로 설정하면 실제 달성 가능성이 높아집니다.
3. 야간 유지의 중요성
치료 완료 후 3개월간 야간 얼라이너 착용이 교합 settling에 도움이 됩니다. 이 기간 동안 후방 접촉이 자연스럽게 회복됩니다.
4. 어려운 이동에 대한 대비
5. 안면 유형별 접근
정리
이 연구는 투명교정 치료가 교합에 미치는 영향을 체계적으로 분석한 의미 있는 종단 연구입니다.
핵심 메시지:
1. 투명교정 치료 후 교합 접촉과 면적이 감소하는 것은 bite-block effect로 인한 자연스러운 현상
2. 후방 접촉은 계획보다 적게, 전방 접촉은 계획보다 많이 달성됨
3. 야간 유지 3개월 후 후방 교합이 자연스럽게 회복됨 (settling effect)
4. 원심이동, 회전, 정출/함입은 추가 얼라이너가 필요할 수 있는 어려운 이동
5. 케이스 복잡도나 안면 유형이 치료 완료율에 직접적 영향을 미치지는 않음
투명교정 치료 시 이러한 교합 변화의 특성을 이해하고, 적절한 과교정 계획과 유지 프로토콜을 수립하는 것이 성공적인 치료 결과를 위해 중요합니다.
🔬 한걸음 더 깊이 들여다보기
💡 이 섹션은 논문 내용을 넘어선 심화 분석입니다
최신 연구들은 어떻게 보나?
본 연구의 결과를 다른 최신 연구들과 비교해 보면 일관된 패턴이 발견됩니다.
| 연구 | 저널/연도 | 주요 발견 |
|---|---|---|
| Marcelino et al. | JCM 2023 | 후방 접촉 50% 감소, settling으로 회복 |
| Bowman et al. | Angle Orthod 2023 | 계획 대비 60%만 교합 접촉 달성 |
| Riede et al. | Clin Oral Invest 2021 | ClinCheck 계획 교합의 60%만 실제 달성 |
| Ke et al. | BMC Oral Health 2019 | 고정식 대비 교합 접촉 달성 열등 |
왜 결과가 유사한가?
– 모든 투명교정 시스템이 동일한 물리적 한계(열가소성 플라스틱 두께)를 가짐
– Bite-block effect는 시스템 종류와 무관한 구조적 특성
왜 후방 교합이 감소하나? – Bite-block Effect의 생역학
투명교정 장치가 상하악 사이에 위치하면:
Kravitz et al. (2009)의 생역학 분석에 따르면, 얼라이너 단계마다 0.5-1.5mm의 수직적 분리가 발생합니다.
어려운 이동은 왜 어려운가? – 치아 이동의 예측도
투명교정에서 치아 이동의 예측도(predictability)는 이동 유형에 따라 다릅니다:
| 이동 유형 | 예측도 | 이유 |
|---|---|---|
| 정출(Extrusion) | 높음 | 탄성 반동력으로 직접 작용 |
| 함입(Intrusion) | 낮음 | 정밀한 처방과 긴 치료 기간 필요 |
| 회전(Rotation) | 낮음 | 둥근 치아 형태로 미끄러짐 발생 |
| 원심이동(Distalization) | 낮음 | 고정원 상실, 환자 협조도 영향 |
Simon et al. (2014)과 Kravitz et al. (2008)은 열가소성 장치가 고정원을 잃고 미끄러지는 경향이 있어 회전과 원심이동이 어렵다고 보고했습니다.
Settling을 최적화하려면? – 유지 프로토콜
현재 권장 프로토콜:
1. 치료 완료 직후: 종일 착용 (22시간/일) 3-6개월
2. 안정화 후: 야간만 착용으로 전환
3. 장기 유지: 고정식 유지장치 또는 야간 착용 지속
Littlewood et al. (2017) Cochrane 리뷰에 따르면, 최적의 유지 프로토콜에 대한 고품질 근거는 아직 부족하지만, 야간 유지가 초기 안정화 기간 후에는 적절한 것으로 보입니다.
본 연구의 시사점:
– 3개월 야간 착용으로 후방 교합이 유의하게 회복
– Settling 기간 동안 치아의 자연적 맹출 경향이 작용
– 대부분의 settling은 첫 3개월 내에 발생 (Horton et al., 2009)
고정식 교정과의 비교 – 언제 투명교정을 선택할까?
| 항목 | 투명교정 | 고정식 교정 |
|---|---|---|
| 교합 접촉 달성 | 60% 수준 | 80-90% 수준 |
| 후방 수직 조절 | 제한적 | 우수 |
| 회전 조절 | 보조장치 필요 | 직접 조절 가능 |
| 심미성 | 우수 | 제한적 |
| 환자 협조도 의존 | 높음 | 낮음 |
투명교정이 적합한 경우:
– 경도~중등도 crowding
– 심미적 요구가 높은 성인 환자
– 환자 협조도가 좋은 경우
고정식이 더 적합한 경우:
– 복잡한 수직 조절 필요
– 대구치 원심이동이 필요한 경우
– 심한 회전 치아
앞으로의 방향
참고문헌
교정 전문의가 직접 상담합니다. 궁금한 점이 있으시면 편하게 문의해 주세요.
📍 서울 강서구 강서로 242, 강서힐스테이트상가 3층
📞 02-2602-7222



